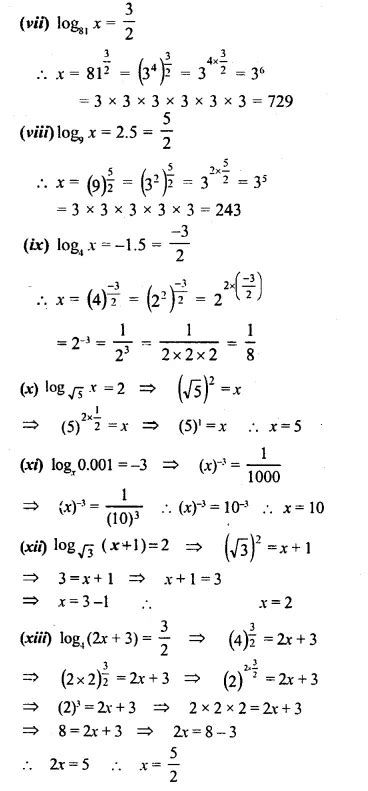
Ray Howard Blog